2025年6月5日
不登校経験者の約半数が「積極的不登校」を好意的に評価=プレマシード調べ=
プレマシードは4日、コロナ禍に「小・中・高校生だった人」と「大学生以上だった人」の計600人を対象に実施した、「コロナ禍の学齢別不登校経験とその理由に関する調査」の結果をまとめ発表した。

それによると、「積極的不登校という言葉を知っているか」と聞いたところ、「知っている」と答えたのは15.0%で、85.0%は「知らない」と回答。コロナ禍の学齢不登校経験別でみると、小・中・高校生/不登校経験ありは「知っている」の割合が特に高く、37.5%だった。

「積極的不登校をどう思うか」と尋ねたところ、「とても良いと思う」が7.8%、「良いと思う」が25.2%で合計すると33.0%だった。だが、コロナ禍の学齢不登校経験別でみると、「良いと思う(とても良いと思う+良いと思う)」は小・中・高校生/不登校経験ありが50.0%、大学生以上/不登校経験ありは49.2%で、不登校経験者の約半数が積極的不登校を好意的に捉えていることが分かった。

「学校の通い方」について聞いたところ、「無理して通うべきではない」が69.0%で、「多少のことは我慢して通うべき」は31.0%だった。コロナ禍の学齢不登校経験別でみると、小・中・高校生/不登校経験ありは37.5%が「多少のことは我慢して通うべき」と答えており、全体より高い数値だった。

「中学と高校での学び」について尋ねたところ、「中学での5教科は大切だと思う」との回答では、「とてもそう思う」と「ややそう思う」の合計値が最も高く77.8%だった。以下、「高校での5教科は大切だと思う」71.2%、「中学での副教科は大切だと思う」64.7%、「高校での学びに満足している」61.8%と続いた。副教科とは音楽、美術、保健体育、技術・家庭科などの教科を指す。

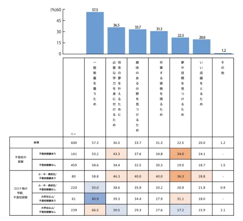
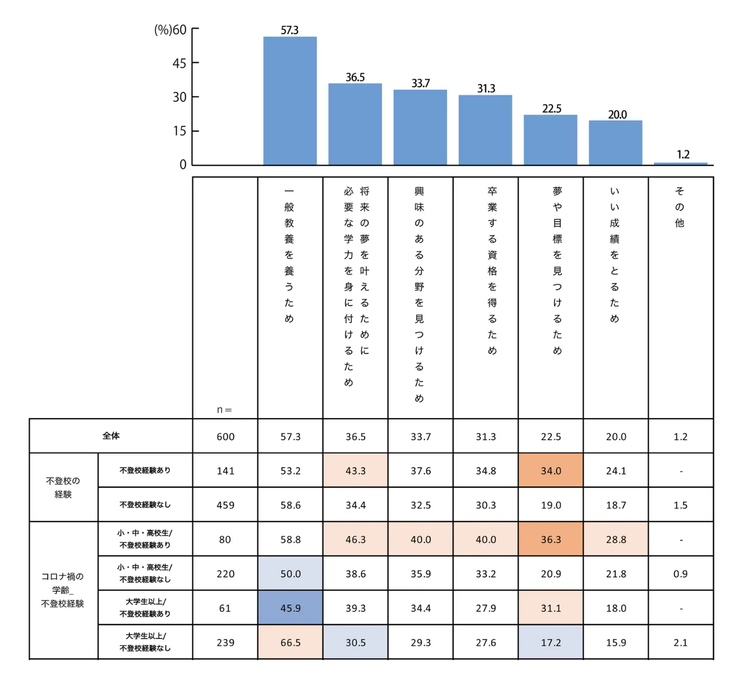
また、「学校の5教科の勉強は、何のためだと考えるか」と聞いたところ、最も多かったのは「一般教養を養うため」57.3%で、以下、「将来の夢を叶えるために必要な学力を身に付けるため」36.5%、「興味のある分野を見つけるため」33.7%、「卒業する資格を得るため」31.3%と続いた。

「学びたい場所」について聞いたところ、「自分の好きなことや追求したい課目をより学ぶことができる」との回答が45.0%もの支持を得た。次いで「自分の学力や目的に合わせたサポートがある」33.2%、「自分の居場所だと感じる場所である」32.7%と続いた。

また、「通信制高校について知っていること」を聞いたところ、最も多かったのは「通学する日、オンラインで学ぶ日を自身の都合や心身の調子に合わせて決めることができる」の23.3%で、以下、「5教科以外にも、eスポーツやK-POP、ネイルなど興味のある分野が学べる」22.0%、「クラスでの授業の他、少人数、個別指導、オンライン、訪問型など自分に合わせた学習スタイルを選べる」20.5%と続いた。
コロナ禍の学齢不登校経験別でみると、小・中・高校生/不登校経験ありは「大学生などの歳の近い大人や社会経験のある教員も多い」が42.5%、「5教科以外にも、eスポーツやK-POP、ネイルなど興味のある分野が学べる」と「通信制高校の生徒は近年増加している」が共に38.8%、「通学する日、オンラインで学ぶ日を自身の都合や心身の調子に合わせて決めることができる」が37.5%と総じて高く、通信制高校への理解が深いことが分かった。

「自分が不登校になった際、心配なこと」について聞いたところ、最も多かったのは「学力低下」38.2%で、以下、「社会性を獲得できない」38.0%、「進学できるか」と「体調やメンタルの不調」の各35.0%と続いた。
コロナ禍の学齢不登校経験別でみると、小・中・高校生/不登校経験ありは「体調やメンタルの不調」「社会性を獲得できない」「進学できるか」がそれぞれ50%を超えており、実際に不登校になって心配事が増えている様子がうかがい知れる。

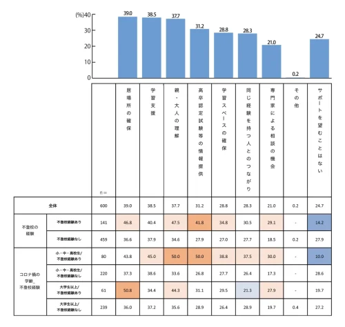
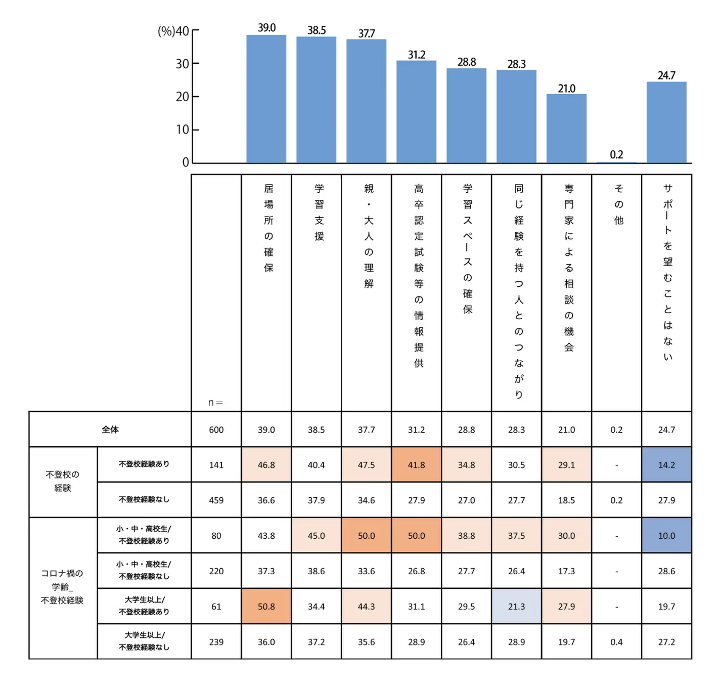
「自分が不登校になった場合、どのようなサポートを望むか」と尋ねたところ、「居場所の確保」39.0%が最も多く、以下、「学習支援」38.5%、「親・大人の理解」37.7%、「高卒認定試験などの情報提供」31.2%と続いた。
コロナ禍の学齢不登校経験別でみると、小・中・高校生/不登校経験ありは「親・大人の理解」と「高卒認定試験などの情報提供」が50.0%に達しており、全体と比べると特に「高卒認定試験などの情報提供」をサポートしてほしいという声が多かった。
この調査は、コロナ禍の学齢が中学生以上(15~39歳)の全国の男女を対象に、4月8~ 17日にかけてインターネットで実施した。有効回答数は600人で、内訳はコロナ禍の学齢が小中高生だった人(高専生を含む)が300人、コロナ禍の学齢が小中高生ではなかった人(大学生以上)が300人。
関連URL
最新ニュース
- JMC、東京都千代田区「区立小中学校ICT学校教育システムの構築・サポート・保守業務」を受託(2026年5月15日)
- 政府目標「理系5割」実現への道筋は幼少期のSTEAM教育、中学生以上の半数超、高校生以上では7割超が理系を選択 =ヒューマン調べ=(2026年5月15日)
- 小学校教師・保育者・保護者三者相互の「見えない意識のすれ違い」が明らかに =小学館調べ=(2026年5月15日)
- 「これって五月病かも?」5月に感じやすい心の体の不調をアンケート調査 =ナビット調べ=(2026年5月15日)
- 中学受験、保護者の92%が「後悔なし」と回答 =塾選調べ=(2026年5月15日)
- 医学部合格者はいつから本気で勉強した?=武田塾医進館調べ=(2026年5月15日)
- 京都橘大学、文部科学省「数理・データサイエンス・AI教育プログラム」応用基礎レベル+に認定(2026年5月15日)
- 富山商高、記憶のプラットフォーム「Monoxer」活用で外部模試「漢字・語彙」で学年平均点9割超を達成(2026年5月15日)
- バッファロー、一関高専へのWi-Fi 6E対応アクセスポイントなど導入事例を公開(2026年5月15日)
- 京都電子計算、大学と共創する「デジタル絵馬」2027年度入試合格祈願絵馬の受付開始(2026年5月15日)











